2,4-二硝基酚

結構式
| 物競編號 | 014m |
|---|---|
| 分子式 | c6h4n2o5 |
| 分子量 | 184.11 |
| 標簽 |
α-二硝基酚, 2-硝基酚, 2-dinitrophenol, a-dinitrophenol, 酸堿指示劑 |
編號系統
cas號:51-28-5
mdl號:mfcd00007115
einecs號:200-087-7
rtecs號:sl2800000
brn號:1246142
pubchem號:24861147
物性數據
1.性狀:淺黃色結晶或粉末[1]
2.熔點(℃):114~115[2]
3.沸點(℃):升華[3]
4.相對密度(水=1):1.68[4]
5.相對蒸氣密度(空氣=1):6.35[5]
6.燃燒熱(kj/mol):-2708.6[6]
7.辛醇/水分配系數:1.54~1.67[7]
8.溶解性:不溶于冷水,溶于熱水、乙醇、、丙酮、、氯仿。[8]
毒理學數據
1.急性毒性[9]
ld50:30mg/kg(大鼠經口);72mg/kg(小鼠經口);700mg/kg(豚鼠經皮)
2.刺激性[10] 家兔經皮:300mg(4周,間歇),輕度刺激。
3.致突變性[11]
微生物致突變:大腸桿菌200ppm(3h)。dna抑制:倉鼠肺臟7mmol/l。dna損傷:大鼠肝100μmol/l。
4.其他[12] 小鼠腹腔低中毒劑量(tdlo):40800μg/kg(孕10~12d),有胚胎毒性。
生態學數據
1.生態毒性[13]
lc50:0.62mg/l(96h)(藍鰓太陽魚);0.7mg/l(96h)(大西洋鮭);6.58~13.3mg/l(96h)(黑頭呆魚,動態);4.85mg/l(96h)(糖蝦);4.09~4.71mg/l(96h)(水蚤);98mg/l(96h)(肋骨條藻)
2.生物降解性[14]
好氧生物降解(h):1622~6312
厭氧生物降解(h):68~170
3.非生物降解性[15]
光解大光吸收(nm):365
水中光氧化半衰期(h):77~3840
空氣中光氧化半衰期(h):111~1114
分子結構數據
1、摩爾折射率:41.22
2、摩爾體積(cm3/mol):111.5
3、等張比容(90.2k):333.2
4、表面張力(dyne/cm):79.6
5、極化率(10-24cm3):16.34
計算化學數據
1.疏水參數計算參考值(xlogp):無
2.氫鍵供體數量:1
3.氫鍵受體數量:5
4.可旋轉化學鍵數量:0
5.互變異構體數量:4
6.拓撲分子極性表面積112
7.重原子數量:13
8.表面電荷:0
9.復雜度:220
10.同位素原子數量:0
11.確定原子立構中心數量:0
12.不確定原子立構中心數量:0
13.確定化學鍵立構中心數量:0
14.不確定化學鍵立構中心數量:0
15.共價鍵單元數量:1
性質與穩定性
1.穩定性[16] 穩定
2.禁配物[17] 強氧化劑、強堿、?;?、酸酐、重金屬粉末
3.避免接觸的條件[18] 摩擦、撞擊、受熱
4.聚合危害[19] 不聚合
5.分解產物[20] 氮氧化物
貯存方法
儲存注意事項[21] 儲存于陰涼、通風良好的專用庫房內,實行“雙人收發、雙人保管”制度。遠離火種、熱源。庫溫不宜超過35℃。包裝密封。應與氧化劑、堿類、食用化學品分開存放,切忌混儲。采用防爆型照明、通風設施。禁止使用易產生火花的機械設備和工具。儲區應備有合適的材料收容泄漏物。
合成方法
1.由2,4-二硝基氯在堿溶液中水解而得。將1400l水加到水解鍋中,攪拌加熱至60℃,將750kg已熔化的2,4-二硝基氯加入鍋內。繼續升溫到90℃,于1.5h內逐漸加入780l30%的氫氧化鈉溶液。加料中溫度上升,控制溫度不超過102-104℃,保溫30min。冷卻,過濾析出的鈉鹽。用水溶解,酸化至ph為1,即析出2,4-二硝基酚的黃色結晶。另一種制備方法是由酚低溫硝化而得。將67%的、53%的硝酸和酚在30℃以下混合均勻,然后,攪拌下加熱至90℃,混合物開始激烈反應,并放出氧化氮,控制反應速度,減少反應物損失。反應緩和后再加熱30min,冷卻,過濾,水洗即得產品。精制可采用酸堿法或用乙醇重結晶。
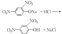
2.將水加熱至60℃后,加入已熔化的2,4-二硝基氯 ( 氯:水≈1∶ 2 ) , 攪拌并升溫至90℃,然后分批加入35%的氫氧化鈉溶液至反應結束后無油珠存在。反應過程中應控制反應溫度不超過102~104℃:

氫氧化鈉溶液加完后保溫30min,并不斷攪拌至油層消失,水解反應完全。靜置,冷卻結晶至完全,濾出的2,4-二硝基酚鈉鹽用適量溫水溶解后,加入鹽酸至ph值為1,即可析出2,4二硝基酚:

所得結晶用少量冷水洗至中性。再用熱水重結晶即可
用途
1.主要用于硫化染料生產,如硫化黑bn;brn;2brn等。也用于生產苦味酸和顯影劑等。分析化學中用作酸堿指示劑,變色范圍是ph=2.8(無色)-4.4(黃色);還可用于檢測鉀;銨;鎂等。
2.用于有機合成、染料、炸藥等。[22]
擴展閱讀https://www.bdmaee.net/wp-content/uploads/2022/08/31-13.jpg擴展閱讀https://www.newtopchem.com/archives/867擴展閱讀https://www.newtopchem.com/archives/462擴展閱讀https://www.cyclohexylamine.net/dabco-pt304-polyurethane-rigid-foam-catalyst-pt304/擴展閱讀https://www.bdmaee.net/niax-k-zero-3000-trimer-catalyst-/擴展閱讀https://www.cyclohexylamine.net/dabco-delay-type-catalyst-delay-type-strong-gel-catalyst/擴展閱讀https://www.newtopchem.com/archives/44177擴展閱讀https://www.cyclohexylamine.net/balance-catalyst-polycat-17-polyurethane-semi-hard-foam-catalyst/擴展閱讀https://www.bdmaee.net/wp-content/uploads/2022/08/polyurethane-thermal-delay-catalyst-nt-cate-129-heat-sensitive-metal-catalyst-1.pdf擴展閱讀https://www.morpholine.org/catalyst-dabco-8154-acid-blocked-tertiary-amine-catalyst/

